首页
权威榜单
巨头动态
行业数据
产业图谱
行业研究
查询
小程序
登入
联系我们
回到顶部
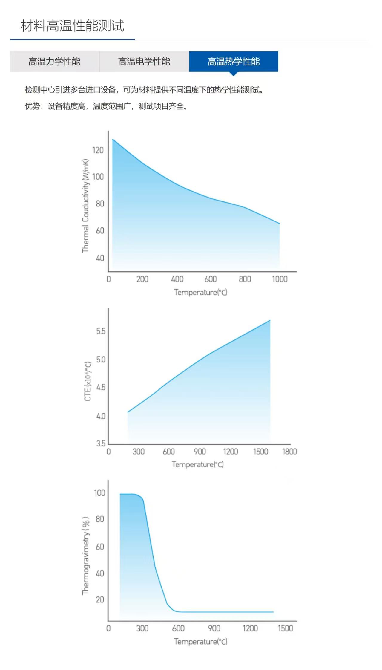
材料高温性能测试
中钢新材
特种石墨生产商
+
关注
已关注
已点赞
点赞
转发
已收藏
收藏
推荐
来自中钢新材
中间相沥青-Mesophase Pitch
中欣新碳
2026-02-08
0:20:56
机器人族谱
英诺嘿呀研究
2026-01-26
0:21:18
机器人进化史(下)
英诺嘿呀研究
2026-01-23
0:20:56
马斯克的万能机器人
英诺嘿呀研究
2026-01-23
0:02:05
四时为序,步履向前。 Goertek | 风物*
歌尔股份
2025-12-21
0:00:26
下雪了?科大讯飞AI总部园区变身冬日童话镇,快和飞飞一起在雪地撒欢,这个冬天,讯飞星火大模型更懂你的奇思妙想。
科大讯飞
2025-12-21
0:01:23
“天狼”新一代四足机器人
五八智能
2025-11-03
0:01:12
外骨骼机器人
肯綮科技
2025-10-15
材料高温性能测试
赛迈测控
2026-01-31