中国企业互动平台
及新兴产业数据库
首页
权威榜单
行业数据
产业图谱
行业研究
生态圈
小程序
登入
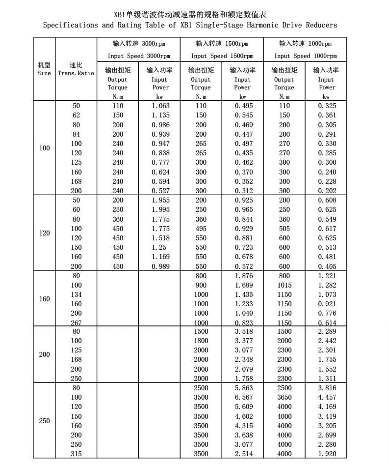
XB1单级谐波传动减速
中技克美
以人为本,客户至上,精益求精,缔造经典
+
关注
已关注
已点赞
点赞
转发
已收藏
收藏
推荐
来自中技克美
0:00:53
眼科副主任医师-骆文婷医生介绍:OK镜的作用、好处,以及最佳配戴年龄。
贝瞳少儿眼科
2025-09-24
0:04:09
政策影响下,呼吸机市场需求旺盛!
贝登医疗
2025-09-19
0:01:05
迎接 AI 时代的实验室革命,Bioyond AINova 实验室智能大模型正式亮相!
奔曜科技
2025-09-18
0:02:48
很高兴见到你 | 在英威腾,遇见更好的自己 梦想与成长同行,加入我们,让青春与理想同频共振
英威腾
2025-09-11
0:30:52
分时电价的变化正重塑工商业储能经济模型。
量道新能源
2025-09-03
龙迅半导体(合肥)股份有限公司宣传
华龙讯达
2025-08-25
南大光电企业宣传
南大光电
2025-08-19
晶栈®Xtacking®4.0
长江存储
2025-08-06
XB1单级谐波传动减速
中技克美
2025-10-19