联系我们
回到顶部

光无源器件中光纤端面8度角之谜

发布者:飞宇光纤
时间:2025-08-20
收藏
已收藏

微信-产品签名.jpg



2222.jpg

通信机房深处,信号忽强忽弱,如幽灵般飘忽不定。工程师们如一群技术侦探,围在一台设备前,眉头紧锁,心头被疑云笼罩,故障点究竟在哪?端面反射,当光在光纤与空气界面上反射,如同光的回声,会干扰原始信号,制造混乱。


怎么样才能让这些反射光偏离甚至消失呢?将光纤端面打磨成斜面,反射光不再按原路返回,而是偏折出去,最终被光纤的包层吸收、消散掉。


究竟光纤端面打磨成多大角度,才能达到最佳光传输效果呢?众所周知,目前无源器件光纤端面基本上都是打磨成8度角。为什么使用8度角,而不是5度角,10度角等等?下面我们就一起来了简单解析这个谜团。

1.jpg





01


 谜团解析


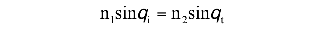
非偏振光从光纤纤芯传输到空气中,在光纤n1和空气n2界面上产生反射和折射。根据菲涅尔折射定律,入射光线(入射角θi)和折射光线(折射角θt)分居在法线的两侧,且满足:

1.png

从而可得出折射角为:

2.png

3.jpg

2.1 垂直端面回波损耗分析

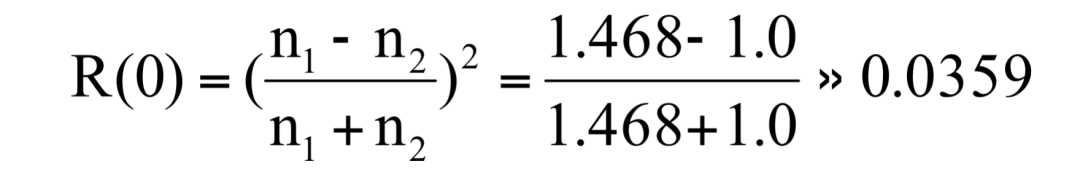
当光纤端面角度为0度时,小部分光在光纤与空气界面处以一定角度反射回到纤芯中,反射光可能干扰原始信号,导致信号质量下降,严重情况下还会损坏激光光源。由菲涅尔反射定律得出反射率为:

4.png

以常规SMF-28e光纤为例(下同),纤芯折射率n1为1.468@1550nm,空气折射率n2为1.0。计算得出反射率约3.59%,即回波损耗为:

5.png740f219420c03ef362eec12795f7cc33.png

图2  垂直端面菲涅尔反射原理图


2.2 倾斜端面回波损耗分析

当光纤端面为角度θ时,小部分光在光纤与空气界面处反射,反射光被引导到光纤包层中,从而防止反射光回到光纤纤芯中,有利于提升回波损耗。

ebcd905107e8941750d23ea4fe10530f.png

图3  倾斜端面菲涅尔反射原理图


(1) 菲涅尔反射率计算

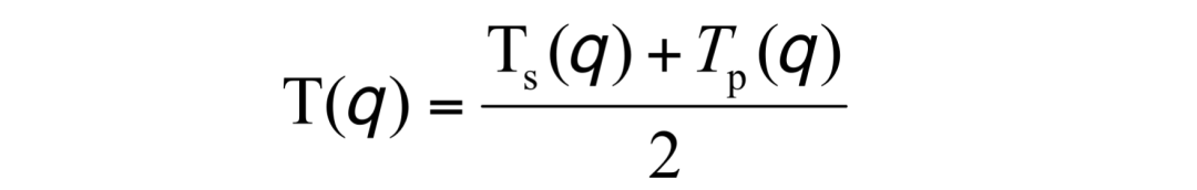
根据菲涅尔反射定律,光在两种不同介质界面处反射和折射时,振幅(或光强)随入射角变化的规律。菲涅尔公式将入射光分解为两种独立的偏振分量,分别为S偏振光和P偏振光。

▶ S偏振光(垂直偏振)反射率为:

8.png

▶ P偏振光(平行偏振)反射率为:

9.png

▶ 故界面反射率为:

10.png

(2) 反向耦合效率计算

在光纤和空气倾斜界面上产生菲涅尔反射,当光纤端面角度为θ时,反射光实际以2θ角度进行反向耦合,反向耦合效率为:

2.png

故得出反射耦合损耗(即回波损耗)为:

4.png

注释:

α:反向耦合系数;

w:模场半径(SMF-28e光纤@1550nm的模场半径);

θ:端面角度(使用弧度计算);


(3) 端面角度对回波损耗影响

端面角度从0度到10度之间取值,然后把各参数代入上述推导公式中,分别计算出界面反射率和反向耦合效率,从而得出回波损耗如下表所示。

ef3531e7115b2496aa3c651496e1c8e3.png

表1 回波损耗与端面角度关系表


635bedba1ec32fc7a1e621f08e6e2fc8.png

图4 回波损耗与端面角度关系曲线

从以上推算结果看,端面角度越大回波损耗越大,相当于有更多反射光不再按原路返回,而是偏折出去,最终被光纤的包层吸收、消散掉,对原信号干扰越小。


2.3 插入损耗分析

(1) 光束横向偏移损耗

光纤端面倾斜时,入射光束对接光纤的纤芯上产生横向偏移Offset。

QQ20250819-180543.png

d:两束光束端面间隙(典型值≈0.001mm);

θ:端面角度;

光束横向偏移损耗为:

16.png

(2)菲涅尔透射率计算 

根据菲涅尔反射定律,光在两种不同介质界面处反射和折射时,振幅(或光强)随入射角变化的规律。菲涅尔公式将入射光分解为两种独立的偏振分量,分别为S偏振光和P偏振光。

▶ S偏振光(垂直偏振)透射率为:

17.png

▶ P偏振光(平行偏振)透射率为:

18.png

▶ 故界面反射率为:

19.png


(3) 端面角度对插入损耗影响

取不同端面角度,把各参数代入光束横向偏移损耗即菲涅尔透耦合损耗公式,计算处插入损耗值,如下表所示。

20.png

表2 插入损耗与端面角度关系表

从以上推算结果看,端面角度越大插入损耗越大,插入损耗越大功耗越大,会严重影响传输系统的传输质量。



02


 分析总结


经以上分析,在正常端面角度范围内,端面角度越大,回波损耗越大(越好),单插入损耗越大(越差)。回波损耗增大主要是干扰原始信号,制造混乱,插入损耗增大会导致系统功耗过大,而且端面角度越大打磨工艺难度也会增加。综合三方面因素考虑,在满足回波损耗条件下尽量减小透射插入损耗,故工程师们折中选取光纤端面角度为8度。


现在很多光无源器件光纤端面都打磨8度角,这是工程智慧在这般精微处闪光,是四两拨千斤的巧妙计算与折中。当我们为通信洪流铺就清澈通道时,这不起眼的斜面设计,正是让光之信息挣脱反射牢笼、奔向无碍远方的关键。





640.webp

飞宇集团(深圳市飞宇光纤股份有限公司),自 2005 年创立于深圳龙华,历经近 20 年的稳健发展,已成为全球光通信领域无源和有源器件的核心供应商之一。我们在深圳拥有 15000 ㎡ 的现代化厂房及 950 多名员工,旗下设立 3 家子公司,并在越南建立了 2000 ㎡ 的研发生产基地,致力于为全球客户提供敏捷高效的制造与交付服务。


作为国家级高新技术企业,飞宇专注于提供高性能、高可靠性的光纤通信器件,核心产品线包括:WDM 波分复用器、光模块、光开关、光纤跳线、光分路器、光环形器、光隔离器。


技术创新是飞宇的驱动力。 我们拥有强大的自主研发能力,累计获得 86 项专利授权,其中包含 18 项发明专利。公司已通过 ISO9001:2015 质量管理体系认证和 ISO14001 环境管理体系认证,确保产品品质与环境责任的卓越表现。


飞宇股份微信二维码.jpg

扫码关注飞宇光纤

获取更多产品资讯





——飞宇集团,光通信无源器件及有源设备制造商——

图片