联系我们
回到顶部

早期使用 REX 康复机器人结合常规康复对亚急性脑卒中患者进行训练,可显著改善患者平衡功能、下肢运动功能、姿势控制能力

发布者:美安雷克斯
时间:2024-07-30
收藏
已收藏

近日,一篇发表在国际康复顶刊NeuroEngineering and Rehabilitation上题为Exoskeleton rehabilitation robot training for balance and lower limb function in subacute stroke patients: a pilot, randomized controlled trial的研究报告中,来自江苏省人民医院的研究者通过进行随机对照实验发现,REX 外骨骼康复机器人在促进亚急性脑卒中患者的早期平衡和运动功能恢复方面显示出卓越的潜在功效。

     在这项研究中,我们使用的可穿戴自平衡外骨骼机器人(REX-L, MaxRex robot exoskeleton Ltd.,无锡,江苏,中国)不仅可以进行下肢步行步态训练,还能进行躯干和上肢功能锻炼。本研究精心挑选了 2022 年 6 月至 12 月在江苏省无锡市同仁康复医院康复科接受康复治疗的亚急性脑卒中患者24例,使用计算机生成的随机数表,将这些患者按1:1 的比例随机分配到机器人组或对照组。两组患者均参加常规康复训练(40 分钟/次,2 次/天,5 天/周,共计四周)针对个人功能能力量身定制。这项训练包括 转移、坐立、静态和动态平衡训练、步行训练和有氧训练。

图片

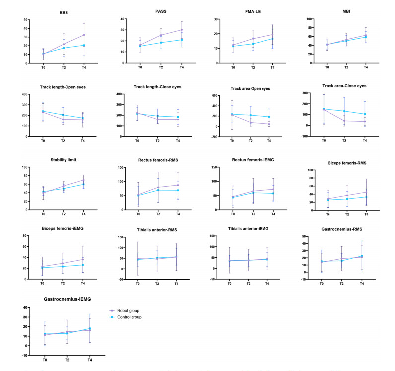
     为了准确评估疗效,研究者观察了为Berg 平衡量表 (Berg Balance Scale, BBS)、Fugl-Meyer 下肢运动功能量表(FMA- LE)、卒中姿势评估量表(PASS)、日常生活活动评估量表(改良 Barthel 指数,MBI)。Tecnobody 平衡测试和下肢表面肌电图(sEMG)多项指标。

图片

   

令人兴奋的是两组在干预4 周后,BBS 评分的功能评估都有显著改善。机器人组的 BBS 评分从干预前的平均 10.25±6.47 分提高到 32.5±13.42 分,对照组的得分从干预后的平均 10.92±4.98 上升至 20.58±12.05。机器人组的改善明显大于对照组(p= 0.032)卒中姿势量表 PASS结果显示,机器人组和对照组均有显著改善(干预前:机器人组16.33±6.51对照组 15.17±5.34;干预 4 周后:机器人组 30.08±7.74,对照组 21±6.59)。两组比较,机器人组比对照组改善更大(p= 0.005)FMA-LE 反映脑卒中患者下肢运动功能。干预后,两组FMA-LE评分均显著提高;机器人组从 12.33±4.85 提高 到 19.42±6.73 ,对照组从11.42±4.06 提高到16.58±6.6。在动静态平衡方面,两组患者的静态平衡稳定性均有改善。两组之间在睁眼运动区域有显著差异,机器人组比对照组改善更大 (p= 0.011)。在动平衡方面,两组干预后稳定极限措施均有显著改善,机器人组从 39.29±14.97 改善至69.89±11.85 , 对照组从42.7±9.33 改善至 59.6±9.65。与对照组相比,机器人组的改善更大(p=0.03)。

   图片     在本研究中,,REX 外骨骼康复机器人训练与常规康复相结合,在平衡(BBS)、姿势控制(PASS)、下肢运动功能(FMA-LE)以及直立位置的静态和动态稳定性方面均有改善。研究揭示了卒中后早期进行重复性功能任务的康复训练对于改善患者功能的要性。从康复的角度来看,重复的、高剂量的训练可以帮助激活大脑区域和重组网络,以改善功能恢复。机器人可以通过外骨骼装置提供引导力和重量支持,允许根据参与者的严重程度个性化 调整训练强度。这为生成可重复的正常步态模式生成创造了一个安全、简化的环境,与传统康复疗法相比具有明显的优势。

参考文献:

Zhang Y, et al. J Neuroeng Rehabil. 2024. PMID: 38851703 Free PMC article. Clinical Trial.