联系我们
回到顶部

射频问答群问答汇总·第99期【2025.09.23】

发布者:慧智微
时间:2025-09-25
收藏
已收藏
期精彩问答投票结果公示


稳定性网络两端的微带线为何影响F类功放效率?投票占比:36%

 本期纪念品:慧智微频段表鼠标垫


欢迎对本的精彩回答投票,我们将对最精彩的回答送上小小的礼物。以表示对作者无私技术奉献的感谢。

本文中回答均由各位射频从业者们自发讨论回复,回答之中不免有错误疏漏,也欢迎大家批评指正。


01

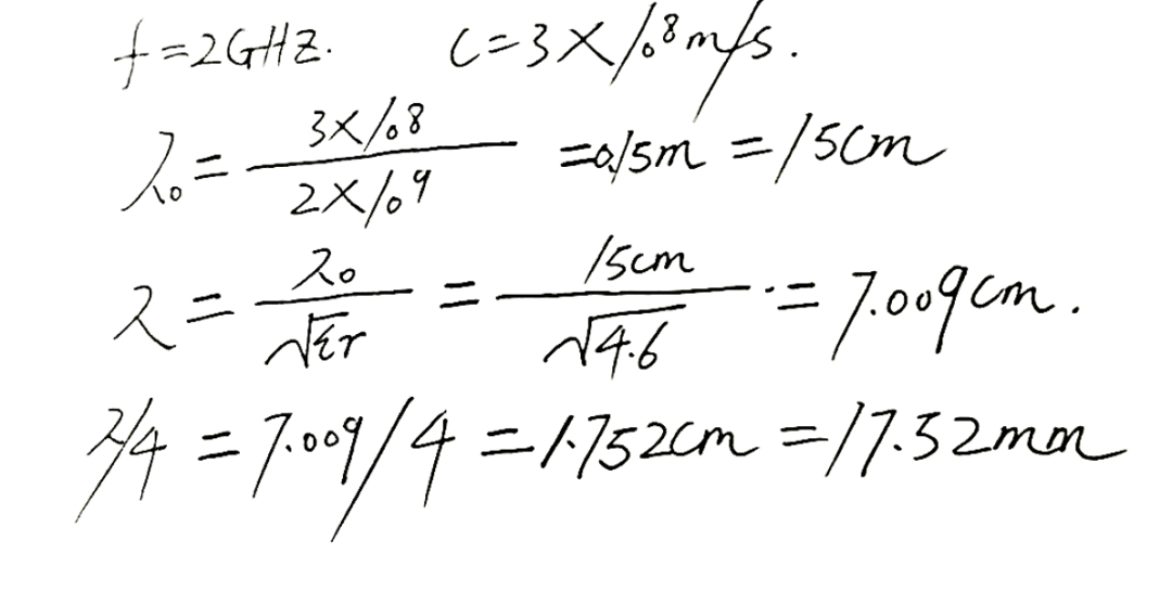
ADS 微带线长度计算为何不符?


Q:家人们,请教一个问题,ADS中计算微带线的长度是不是有出入还是我的计算有问题?


图片


90度电长度对应就是四分之一波长对吧?那为什么我算出来四分之一波长是17.52cm?还软件中的对应不上,求指导,谢谢各位!


图片


A:你把软件里面介电常数这些参数改改看,看看变不变。


A:你这是带状线的四分之一波长计算公式,微带线的等效介电常数比4.6小的。


Q:FR4的板材我假设固定死了,而且软件上显示的是MLIN微带线。你意思是不能直接除以根号下介电常数?要除以εe是不?


A:是的。微带线等效介电常数比4.6小的,可以用(4.6+1)/2来简单近似。


Q:谢谢各位大佬!


02

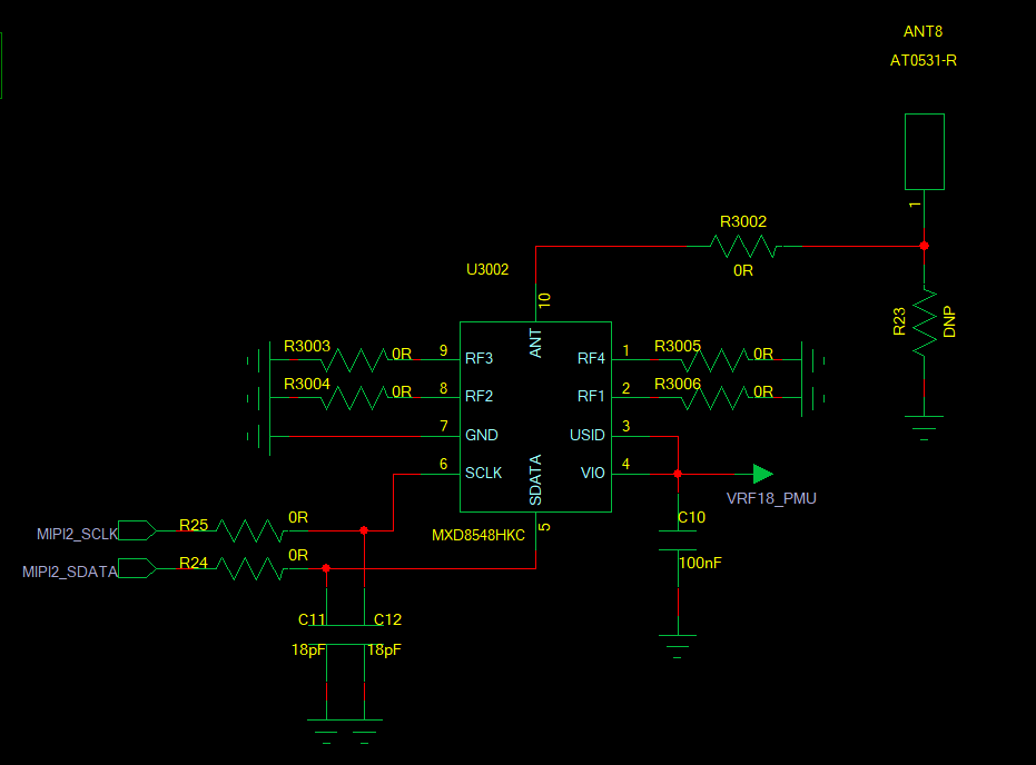
R3003-3006 DNP 后信号去哪了?


Q:谁能给描述一下 这个工作原理,R3003-3006 会根据需要DNP, 但是DNP后,ANT接RF1-4中任意几个后, 信号去哪了呢?没看懂射频跟我说 调完匹配后,R3003-3006 会根据需要DNP。


图片

图片

图片


A:原理图错了,原理图画错了,射频口都接地了还怎么用。


A:而且很不专业,射频用0R拉到底,全反射RF1-4,至少要一路是工作的。


A:那原理图上0R是预留的,这个是调天线用的,R3003-3006可以理解为天线GND馈电点的匹配电路。


图片

Q:不懂。

A:我认为这个原理图想表达的是ANT是公共端,RF1-4接不同频率的天线。


A:实际根据整机需要,通过软件配置去切换不通的对地电阻。


Q:对。


A:跟ant tuner原理类似,正常收发信号不会这样用,这是用在天线的GND馈电点上用于调节匹配。


A:但是这里面错误就是输入输出都画反了,天线口直接到地,没有这样画的,这样PCB直接把RF1-4默认到地了,而不会连接在ANT上。


A:你去搜antenna tuner的工作原理就好了。


Q:好的。


说是这个根据软件调接哪个BAND, 射频跟我说 调完匹配后,R3003-3006 会根据需要DNP, 你们两位说的 一个是天线馈电GND匹配,一个是 ANT是公共端,RF1-4接不同频率的天线; 哪个对呢?'说是这个根据软件调接哪个BAND, 射频跟我说 调完匹配后,R3003-3006 会根据需要DNP,' 怎么理解这句话?


那到底是 天线馈电GND匹配, 对?     还是 :一个是 ANT是公共端,RF1-4接不同频率的天线;  这个说法对?


A:原理图没错,天线下地用的。


A:根据实际天线匹配调试的结果来定,这个到时候天线厂会输出给你们用料的,如果性能好,可能你这颗SP4T都可以DNP。


Q:恩。


A:天线GND匹配对。这个叫aperture tuner,用来根据不同频带改变天线某处接地的阻抗。


Q:'用来根据不同频带改变天线某处接地的阻抗'  请问怎么根据不同频段 不同BAND, 改变天线某处的接地阻抗? 是根据实际天线匹配调试后, R3003-3006接不同的电阻,电容,电感吗?


A:差不多。


Q:那就是射频校准软件程序 根据天线不同的BAND,比如 工作在B28时候,对应的阻抗应该是R3003=1UF,到时软件检测到 这个B28频段就这么切过去呗?这么理解对不?


A:差不多是这样,天线也是硬件。


Q:谢谢大神指点,也谢谢各位科班!


03

Doherty 功放基波功率看哪处阻抗?


Q:求问,Doherty功放,说为了提高回退效率使得负载阻抗回退时候变为原来二倍,功放计算基波功率看到的阻抗是四分之一波长阻抗逆变器前的嘛?


A:肯定是后的啊,2ropt,然后电流是imax/2。


Q:这张图是传统的DohertyPA,然后emm分析。

图片


A:主路功率在回退点是一半的最大功率。


Q:看起来是之前的嘛?


图片


A:会退点的时候,主路看到的是100,饱和情况下是50。


Q:这个是四分之一阻抗逆变器前的诶,就是一直迷惑这个,按道理是看最终的负载的嘛计算基波功率。


A:功率肯定是在最后放一个电流表计算,如果你的网络是无损的,负载端的功率和你的晶体管输出的功率应该是一样大。


Q:哦哦哦,明白啦,谢谢!


A:OK图片


04

HFSS 中螺线管如何馈电?


Q:请教大家一个问题:大家有没有在HFSS里做过不规则物体的馈电仿真?比如这样的螺线管怎么设置馈电呢?


图片


A:电感引线当做同轴内芯,做个同轴馈电。再建空气腔包住电感。


Q:感谢哈!


05

检波器单脉冲输入能降频吗?


Q:有没有佬接触过检波器芯片啊,想咨询一下,佬用过吗?


A:我做过之前。


Q:佬,如果检波器的输入信号只有一个脉冲,那我这个检波器是不是就不能降低频率了,就像这样,频率有一点变化,但不多。


图片


A:检波不是检测射频信号幅值输出直流信号吗?


A:和频率啥关系。


Q:对呀,和频率没关系呀,反正输出的是一个检波电压差。


A:直流电压。


Q:但我现在检波后的输出不是直流。


A:你交流信号没滤干净吧。


Q:输出端加一个低通?


A:对你先接一个试试,或者并联几个大电容,弄个载板试试。


Q:我是直接用的芯片模块。


图片


A:那你外面并联大电容试试呢?


Q:他这个芯片里面有滤波电路了,这是数据手册上的输入输出,这个我感觉也没降低频率啊。

图片


图片


A:那不知道这个咋回事哎。


Q:好,我再看看。


我明白了,输出信号虽然是300ns,但是它并不是一个有周期而且可重复的信号,所以它是一个直流信号。这个检波器把射频信号转换成了直流信号,能够降低信号的频率。


A:图片